
ACT数学之代数(Algebra)
1 Polynomials 多项式函数

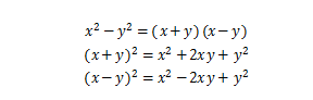
2 基本公式

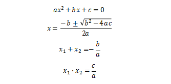
3 Quadratic Equations 二次方程

4 Functions 函数
A function f from S to T, where S and T are non-empty sets, is a rule that associates with each element of S (the domain 定义域 ) a unique element of T (the codomain, range,值域).

Transformations: 函数变换

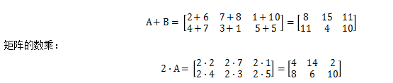
5 Matrices 矩阵
A rectangular array of entries displayed in rows and columns and enclosed in brackets.

矩阵的加法:



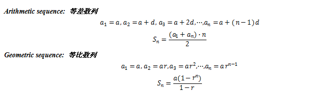
6 Sequences 序列


ACTOG下载:



