
雅思考试是大部分学生出国留学要参加的考试,2022年雅思(IELTS)和用于英国签证及移民的雅思(IELTS for UKVI)纸笔考试全年50个考试日期、2022年1-6月雅思(IELTS)和用于英国签证及移民的雅思(IELTS for UKVI)181个机考日期现已正式发布。以下是小编为大家整理的2022年雅思考试时间和报名时间一览表,仅供参考。
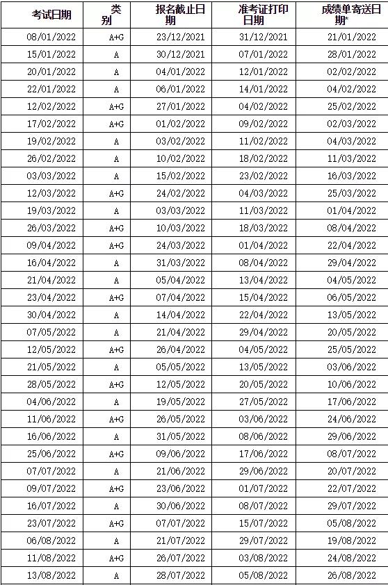
2022年雅思考试时间和报名时间


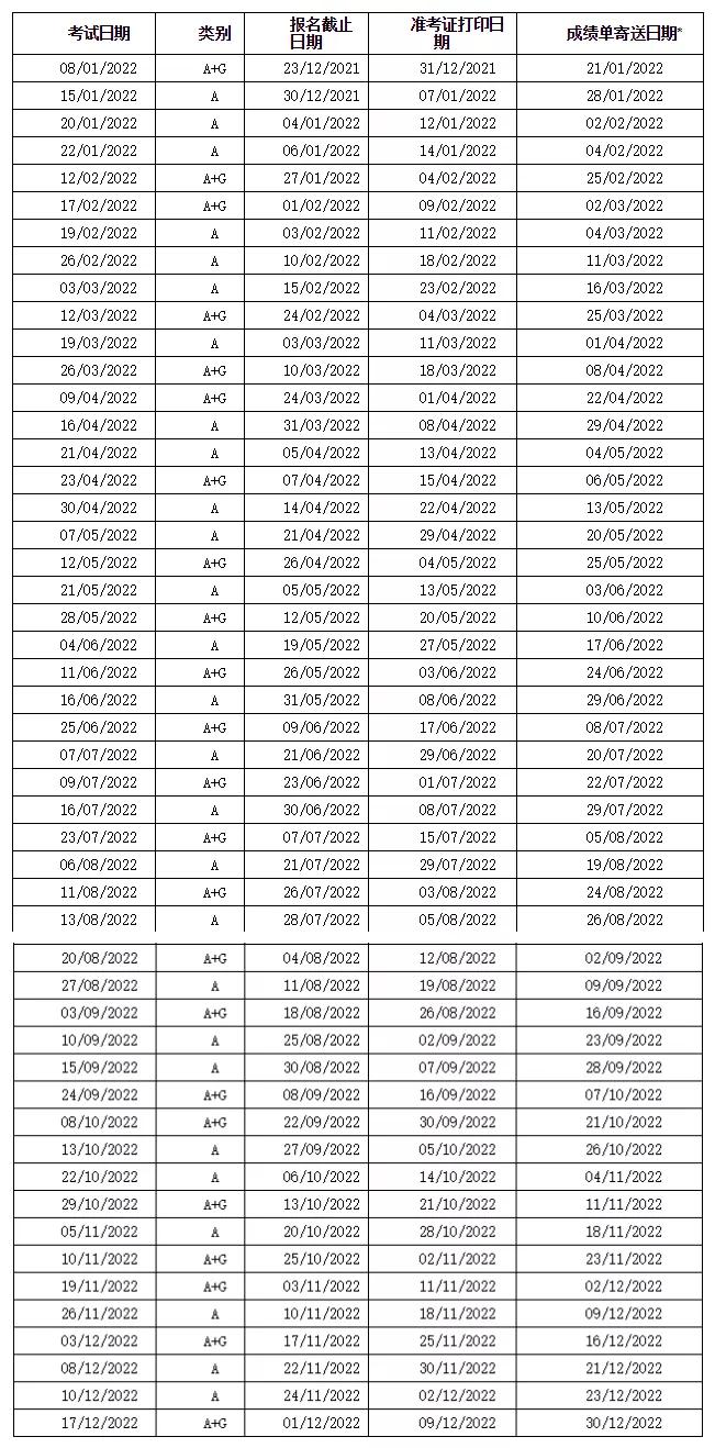
2022年用于英国签证及移民的雅思考试报名截止日期、准考证打印日期和成绩单寄送日期

雅思考试
1. 雅思考试流程
考生在进入笔试考场后,应按照工作人员的安排进行检查,准备好自己的身份证,禁止携带其他物品,按考号排队等候。
笔试时间大约是9:00~12:00,首先是听力部分,再就是阅读部分和写作部分。
先从听力部分开始考试,考试时间分为30分钟和10分钟的誊写答案时间。需要注意的是在答题的过程中也不要摘下耳机,因为耳机会在考试结束后提示考试结束时间,然后停止回答。
阅读部分没有转换时间,共计60分钟,所以要及时填写答案。写作部分有两篇作文,有字数限制,因此要更好地把握书写时间,写作部分考试时间为60分钟。
2. 雅思考试包括哪些内容
听力分为四个部分,其中有两个话题涉及社会生活,另外两个话题涉及教育和培训。
社会生活分为双向对话和以交流为目的的独白;教育培训分为2-4人在学术环境中的讨论和在学术环境中的独白。
听力部分的问题包括填写表格/笔记/流程图/摘要、选择题、填空、句子补全、图表、计划或地图的排序与匹配。
阅读部分的学术类包括三篇文章,共40个问题,每题1分;培训类由三个部分组成,共有40个问题,第 一部分共14题,第二部分和第三部分各有13题。
写作部分的学术类和培训类都由两篇作文组成,作文一字数不少于150字,作文二字数不少于250字;两者的内容会有所不同。
口语部分的考试形式是考生和考官进行面对面的交流,分为三个部分:简介和问答、个人陈述和双向讨论。
雅思考试各部分考试时长介绍
1、听力部分
考试时间为四十分钟。前三十分钟为听录音答题时间,考生需根据听到的录音内容回答大约四十个问题。录音分为4个段,每段称为一个SECTION,每个SECTION持续时间约5分钟,各SECTION中间有30秒时间让考生检查答案。所有录音内容只播放一遍。听录音时间结束后,考生另有10分钟时间将试卷上的内容誊写到专用的答题卡上。所有考试试卷不得带离考场。
2、阅读部分
考试时间为六十分钟。由三篇独立的文章组成(包括有十种左右的题型),每篇的文章长度在800—1200字,原则上有38—42道题, 但迄今为止在国内考场40道题最为常见。考生如果在文中见到技术术语,文章将提供其简单的解释。通常第 一篇文章比较容易,第三篇文章难度较大一些。考官会在考试进行到30分钟,15分钟,10分钟,5分钟时提醒考生收卷时间。
3、写作部分
考试时间为六十分钟。考生需写两篇文章,其中第 一篇文章要求至少150个单词(通常称为小作文),第二篇文章要求至少250个单词(通常称为大作文)。作文的评分标准在2005进行过一些调整后,至今为止都相对稳定。第 一篇小作文的第 一点就是Task Achievement(任务完成),第二点是Coherence and Cohesion(连贯与衔接),第三点是Lexical Resource(词汇资源),第四点是Grammatical Range and Accuracy(语法范围与准确)。第二篇大作文的第 一点是Task Response(任务反应),其他三点跟第 一篇作文完全一致。在写作部分评分时,第二篇文章的作用较大,建议考生花二十分钟左右的时间在第 一篇文章上,花四十分钟左右的时间在第二篇文章上。移民类与学术类写作仅在第 一篇小作文上有所区别。
4、口语部分
考试时间为十到十五分钟。考生将与由考试中心任命并经剑桥大学测试联盟(UCLES)认证的考试官进行会话。口试由三个阶段组成,考试官会在开始的几分钟设法让考生感觉舒适并消除考生的紧张情绪,然后进入第 一阶段:
自我介绍。考生主要回答一些有关个人情况的问题,例如工作、学习、兴趣爱好、考试目的、未来打算等等。也可能让考生描述一些自己的亲身感受。这一部分主要测试考生使用社交问候语,提供个人信息和陈述事实的能力。
第二部分:个人表述。考生抽取一张写有话题的卡片,一分钟准备时间后,尽量多说直到考官叫停。这部分用来测试考生的快速组织语言能力,并就一个特定的话题进行口头陈述。
最后一部分:双向讨论。主要是对第二部分话题的延伸和发散,对话题进行进一步深入广泛的讨论。考官问题一般比较抽象。考察考生的语言技巧和思辨能力,也是难度 最 高的一个部分,整个会话过程将被录音备案。




